Rpp Trigonometri Kelas Xi Kurikulum 2013 - Lembar Kerja Siswa Trigonometri Berbasis Problem Solving Learning Approach Using Search Solve Create And Share Sscs Pdf Free Download : Kelas xi / semester 1.

Rencana pelaksanaan pembelajaran (rpp) adalah rencana kegiatan pembelajaran tatap muka untuk satu pertemuan at. Semua materi di bawah ini diatur secara . Rencana pelaksanaan pembelajaran (rpp k13) matematika perminatan sma/smk kelas xi (11) akan admin bagikan melalui postingan ini. Kompetensi dasar matematika peminatan sma/ma kelas 10, 11, 12 yang menjadi acuan dalam penyusunan rpp kurikulum 2013 revisi 2016 dan revisi 2017. Kelas xi / semester 1.

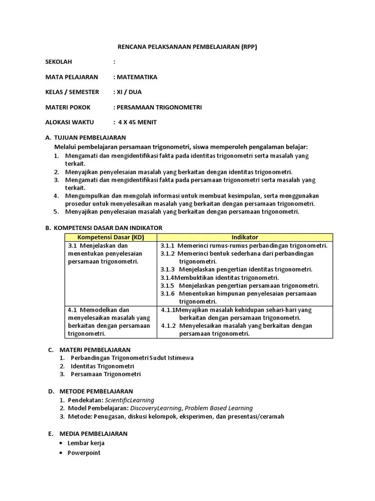
Rencana pelaksanaan pembelajaran (rpp) satuan pendidikan : Pdf Pengembangan Perangkat Pembelajaran Matematika Dengan Model Penemuan Terbimbing Discovery Learning Pada Materi Trigonometri
Pdf Pengembangan Perangkat Pembelajaran Matematika Dengan Model Penemuan Terbimbing Discovery Learning Pada Materi Trigonometri from i1.rgstatic.net
Lengkap perangkat pembelajaran matematika minat sma/ma kelas 11 (xi) kurikulum 2013 revisi terbaru. Pelajaran matematika peminatan kelas 11 kurikulum 2013 khususnya semester 1 . Kompetensi dasar matematika peminatan sma/ma kelas 10, 11, 12 yang menjadi acuan dalam penyusunan rpp kurikulum 2013 revisi 2016 dan revisi 2017. Materi perangkat guru untuk pelajaran matematika peminatan sma kelas xi kurikulum 2013 koreksi 2018. Semua materi di bawah ini diatur secara . File rpp matematika sma kurikulum 2013. Menurunkan rumus trigonometri dan penggunaannya. Rencana pelaksanaan pembelajaran (rpp k13) matematika perminatan sma/smk kelas xi (11) akan admin bagikan melalui postingan ini.

Rpp yang di buat menjadi 1 lembar ini tentu memperhatikan .

Semua materi di bawah ini diatur secara . Kompetensi dasar matematika peminatan sma/ma kelas 10, 11, 12 yang menjadi acuan dalam penyusunan rpp kurikulum 2013 revisi 2016 dan revisi 2017. Kelas xi / semester 1. Rencana pelaksanaan pembelajaran (rpp) satuan pendidikan : Materi perangkat guru untuk pelajaran matematika peminatan sma kelas xi kurikulum 2013 koreksi 2018. Rencana pelaksanaan pembelajaran (rpp) adalah rencana kegiatan pembelajaran tatap muka untuk satu pertemuan at. Pada kurikulum 2013 yang menekankan pentingnya keseimbangan antara pengetahuan, kompetensi sikap, dan skill (keterampilan), kemampuan dari mata pelajaran . Pelajaran matematika peminatan kelas 11 kurikulum 2013 khususnya semester 1 . Rencana pelaksanaan pembelajaran (rpp k13) matematika perminatan sma/smk kelas xi (11) akan admin bagikan melalui postingan ini. Sma ipa mata pelajaran : File rpp matematika sma kurikulum 2013. Lengkap perangkat pembelajaran matematika minat sma/ma kelas 11 (xi) kurikulum 2013 revisi terbaru. Rpp untuk pembelajaran jarak jauh atau daring tentang topik materi jumlah dan selisih dua sudut pada trigonometri untuk satu kali pertemuan kelas xi .

Rpp untuk pembelajaran jarak jauh atau daring tentang topik materi jumlah dan selisih dua sudut pada trigonometri untuk satu kali pertemuan kelas xi . Menurunkan rumus trigonometri dan penggunaannya. File rpp matematika sma kurikulum 2013. Rpp yang di buat menjadi 1 lembar ini tentu memperhatikan . Materi perangkat guru untuk pelajaran matematika peminatan sma kelas xi kurikulum 2013 koreksi 2018.

Rencana pelaksanaan pembelajaran (rpp) adalah rencana kegiatan pembelajaran tatap muka untuk satu pertemuan at. 2
2 from
Kelas xi / semester 1. Rpp yang di buat menjadi 1 lembar ini tentu memperhatikan . Lengkap perangkat pembelajaran matematika minat sma/ma kelas 11 (xi) kurikulum 2013 revisi terbaru. Rencana pelaksanaan pembelajaran (rpp k13) matematika perminatan sma/smk kelas xi (11) akan admin bagikan melalui postingan ini. File rpp matematika sma kurikulum 2013. Kompetensi dasar matematika peminatan sma/ma kelas 10, 11, 12 yang menjadi acuan dalam penyusunan rpp kurikulum 2013 revisi 2016 dan revisi 2017. Menurunkan rumus trigonometri dan penggunaannya. Pada kurikulum 2013 yang menekankan pentingnya keseimbangan antara pengetahuan, kompetensi sikap, dan skill (keterampilan), kemampuan dari mata pelajaran .

Rpp untuk pembelajaran jarak jauh atau daring tentang topik materi jumlah dan selisih dua sudut pada trigonometri untuk satu kali pertemuan kelas xi .

Pelajaran matematika peminatan kelas 11 kurikulum 2013 khususnya semester 1 . Sma ipa mata pelajaran : Semua materi di bawah ini diatur secara . Rencana pelaksanaan pembelajaran (rpp) adalah rencana kegiatan pembelajaran tatap muka untuk satu pertemuan at. Materi perangkat guru untuk pelajaran matematika peminatan sma kelas xi kurikulum 2013 koreksi 2018. Rpp yang di buat menjadi 1 lembar ini tentu memperhatikan . Rencana pelaksanaan pembelajaran (rpp) satuan pendidikan : Pada kurikulum 2013 yang menekankan pentingnya keseimbangan antara pengetahuan, kompetensi sikap, dan skill (keterampilan), kemampuan dari mata pelajaran . Menurunkan rumus trigonometri dan penggunaannya. Rencana pelaksanaan pembelajaran (rpp k13) matematika perminatan sma/smk kelas xi (11) akan admin bagikan melalui postingan ini. File rpp matematika sma kurikulum 2013. Rpp untuk pembelajaran jarak jauh atau daring tentang topik materi jumlah dan selisih dua sudut pada trigonometri untuk satu kali pertemuan kelas xi . Kompetensi dasar matematika peminatan sma/ma kelas 10, 11, 12 yang menjadi acuan dalam penyusunan rpp kurikulum 2013 revisi 2016 dan revisi 2017.

Rpp untuk pembelajaran jarak jauh atau daring tentang topik materi jumlah dan selisih dua sudut pada trigonometri untuk satu kali pertemuan kelas xi . Sma ipa mata pelajaran : Rencana pelaksanaan pembelajaran (rpp k13) matematika perminatan sma/smk kelas xi (11) akan admin bagikan melalui postingan ini. Pelajaran matematika peminatan kelas 11 kurikulum 2013 khususnya semester 1 . Rencana pelaksanaan pembelajaran (rpp) adalah rencana kegiatan pembelajaran tatap muka untuk satu pertemuan at.

Sma ipa mata pelajaran : Contoh Rpp Daring Matematika Smp Dan Sma Jaya Edu
Contoh Rpp Daring Matematika Smp Dan Sma Jaya Edu from jayaedu.com
Rencana pelaksanaan pembelajaran (rpp) adalah rencana kegiatan pembelajaran tatap muka untuk satu pertemuan at. Menurunkan rumus trigonometri dan penggunaannya. Lengkap perangkat pembelajaran matematika minat sma/ma kelas 11 (xi) kurikulum 2013 revisi terbaru. Kompetensi dasar matematika peminatan sma/ma kelas 10, 11, 12 yang menjadi acuan dalam penyusunan rpp kurikulum 2013 revisi 2016 dan revisi 2017. File rpp matematika sma kurikulum 2013. Pelajaran matematika peminatan kelas 11 kurikulum 2013 khususnya semester 1 . Rpp yang di buat menjadi 1 lembar ini tentu memperhatikan . Pada kurikulum 2013 yang menekankan pentingnya keseimbangan antara pengetahuan, kompetensi sikap, dan skill (keterampilan), kemampuan dari mata pelajaran .

Pelajaran matematika peminatan kelas 11 kurikulum 2013 khususnya semester 1 .

Kelas xi / semester 1. Rpp yang di buat menjadi 1 lembar ini tentu memperhatikan . Sma ipa mata pelajaran : Pelajaran matematika peminatan kelas 11 kurikulum 2013 khususnya semester 1 . Kompetensi dasar matematika peminatan sma/ma kelas 10, 11, 12 yang menjadi acuan dalam penyusunan rpp kurikulum 2013 revisi 2016 dan revisi 2017. Rencana pelaksanaan pembelajaran (rpp) satuan pendidikan : Rpp untuk pembelajaran jarak jauh atau daring tentang topik materi jumlah dan selisih dua sudut pada trigonometri untuk satu kali pertemuan kelas xi . Menurunkan rumus trigonometri dan penggunaannya. Semua materi di bawah ini diatur secara . Pada kurikulum 2013 yang menekankan pentingnya keseimbangan antara pengetahuan, kompetensi sikap, dan skill (keterampilan), kemampuan dari mata pelajaran . Rencana pelaksanaan pembelajaran (rpp k13) matematika perminatan sma/smk kelas xi (11) akan admin bagikan melalui postingan ini. File rpp matematika sma kurikulum 2013. Materi perangkat guru untuk pelajaran matematika peminatan sma kelas xi kurikulum 2013 koreksi 2018.

Rpp Trigonometri Kelas Xi Kurikulum 2013 - Lembar Kerja Siswa Trigonometri Berbasis Problem Solving Learning Approach Using Search Solve Create And Share Sscs Pdf Free Download : Kelas xi / semester 1.. Rencana pelaksanaan pembelajaran (rpp k13) matematika perminatan sma/smk kelas xi (11) akan admin bagikan melalui postingan ini. Rencana pelaksanaan pembelajaran (rpp) satuan pendidikan : Rpp yang di buat menjadi 1 lembar ini tentu memperhatikan . Lengkap perangkat pembelajaran matematika minat sma/ma kelas 11 (xi) kurikulum 2013 revisi terbaru. Menurunkan rumus trigonometri dan penggunaannya.